QUESTÕES DO ENEM – IMUNOLOGIA (SORO E VACINA)


Questões do ENEM das edições de 1999 a 2023, sobre Vacina e Soro que são estudados em imunologia.


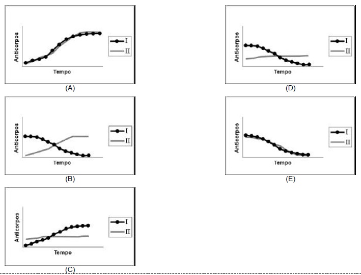
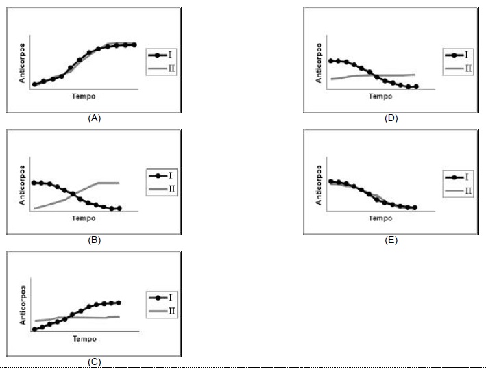
1 – (ENEM 1999) A variação da quantidade de anticorpos específicos foi medida por meio de uma experiência controlada, em duas crianças durante um certo período de tempo. Para a imunização de cada uma das crianças foram utilizados dois procedimentos diferentes:
Criança I: aplicação de soro imune.
Criança II: vacinação.
O gráfico que melhor representa as taxas de variação da quantidade de anticorpos nas crianças I e II é:
QUESTÕES DO ENEM - IMUNOLOGIA

2 – (ENEM 2003) Quando o corpo humano é invadido por elementos estranhos, o sistema imunológico reage. No entanto, muitas vezes o ataque é tão rápido que pode levar a pessoa à morte. A vacinação permite ao organismo preparar sua defesa com antecedência. Mas, se existe suspeita de mal já instalado, é recomendável o uso do soro, que combate de imediato os elementos estranhos, enquanto o sistema imunológico se mobiliza para entrar em ação.
Considerando essas informações, o soro específico deve ser usado quando
(A) um idoso deseja se proteger contra gripe.
(B) uma criança for picada por cobra peçonhenta.
(C) um bebê deve ser imunizado contra poliomielite.
(D) uma cidade quer prevenir uma epidemia de sarampo.
(E) uma pessoa vai viajar para região onde existe febre amarela.

3 (ENEM 2009) Estima-se que haja atualmente no mundo 40 milhões de pessoas infectadas pelo HIV (o vírus que causa a AIDS), sendo que as taxas de novas infecções continuam crescendo, principalmente na África, Ásia e Rússia. Nesse cenário de pandemia, uma vacina contra o HIV teria imenso impacto, pois salvaria milhões de vidas. Certamente seria um marco na história planetária e também uma esperança para as populações carentes de tratamento antiviral e de acompanhamento médico.
TANURI, A.; FERREIRA JUNIOR, O. C. Vacina contra Aids: desafios e esperanças. Ciência Hoje (44) 26, 2009 (adaptado).
Uma vacina eficiente contra o HIV deveria
A) induzir a imunidade, para proteger o organismo da contaminação viral.
B) ser capaz de alterar o genoma do organismo portador, induzindo a síntese de enzimas protetoras.
C) produzir antígenos capazes de se ligarem ao vírus, impedindo que este entre nas células do organismo humano.
D) ser amplamente aplicada em animais, visto que esses são os principais transmissores do vírus para os seres humanos.
E) estimular a imunidade, minimizando a transmissão do vírus por gotículas de saliva.

4 – (ENEM 2010) A vacina, o soro e os antibióticos submetem os organismos a processos biológicos diferentes. Pessoas que viajam para regiões em que ocorrem altas incidências de febre amarela, de picadas de cobras peçonhentas e de leptospirose e querem evitar ou tratar problemas de saúde relacionados a essas ocorrências devem seguir determinadas orientações.
Ao procurar um posto de saúde, um viajante deveria ser orientado por um médico a tomar preventivamente ou como medida de tratamento
A) antibiótico contra o vírus da febre amarela, soro antiofídico caso seja picado por uma cobra e vacina contra a leptospirose.
B) vacina contra o vírus da febre amarela, soro antiofídico caso seja picado por uma cobra e antibiótico caso entre em contato com a Leptospira sp.
C) soro contra o vírus da febre amarela, antibiótico caso seja picado por uma cobra e soro contra toxinas bacterianas.
D) antibiótico ou soro, tanto contra o vírus da febre amarela como para veneno de cobras, e vacina contra a leptospirose.
E) soro antiofídico e antibiótico contra a Leptospira sp e vacina contra a febre amarela caso entre em contato com o vírus causador da doença.

5 – (ENEM 2011) O vírus do papiloma humano (HPV, na sigla em inglês) causa o aparecimento de verrugas e infecção persistente, sendo o principal fator ambiental do câncer de colo de útero nas mulheres. O vírus pode entrar pela pele ou por mucosas do corpo, o qual desenvolve anticorpos contra a ameaça, embora em alguns casos a de1esa natural do organismo não seja suficiente. Foi desenvolvida uma vacina contra o HPV, que reduz em até 90% as verrugas e 85,6% dos casos de infecção persistente em comparação com pessoas não vacinadas.
Disponível em: http://g1.globo.com. Acesso em: 12 jun. 2011.
O benefício da utilização dessa vacina é que pessoas vacinadas, em comparação com as não vacinadas, apresentam diferentes respostas ao vírus HPV em decorrência da
A) alta concentração de macrófagos.
B) elevada taxa de anticorpos específicos anti-HPV circulantes.
C) aumento na produção de hemácias após a infecção por vírus HPV.
D) rapidez na produção de altas concentrações de linfócitos matadores.
E) presença de células de memória que atuam na resposta secundária.

6 – (ENEM 2011) Os sintomas mais sérios da Gripe A, causada pelo vírus H1N1, foram apresentados por pessoas mais idosas e por gestantes. O motivo aparente é a menor imunidade desses grupos contra o vírus. Para aumentar a imunidade populacional relativa ao vírus da gripe A, o governo brasileiro distribuiu vacinas para os grupos mais suscetíveis.
A vacina contra o H1N1, assim como qualquer outra vacina contra agentes causadores de doenças infecto- contagiosas, aumenta a imunidade das pessoas porque
A) possui anticorpos contra o agente causador da doença.
B) possui proteínas que eliminam o agente causador da doença.
C) estimula a produção de glóbulos vermelhos pela medula óssea.
D) possui linfócitos B e T que neutralizam o agente causador da doença.
E) estimula a produção de anticorpos contra o agente causador da doença.

7 – (ENEM 2013) Milhares de pessoas estavam morrendo de varíola humana no final do século XVIII. Em 1796, o médico Edward Jenner (1749-1823) inoculou em um menino de 8 anos o pus extraído de feridas de vacas contaminadas com o vírus da varíola bovina, que causa uma doença branda em humanos. O garoto contraiu uma infecção benigna e, dez dias depois, estava recuperado. Meses depois, Jenner inoculou, no mesmo menino, o pus varioloso humano, que causava muitas mortes. O menino não adoeceu. Disponível em: www.bbc.co.uk. Acesso em: 5 dez. 2012 (adaptado).
Considerando o resultado do experimento, qual a contribuição desse médico para a saúde humana?
A) A prevenção de diversas doenças infectocontagiosas em todo o mundo.
B) A compreensão de que vírus podem se multiplicar em matéria orgânica.
C) O tratamento para muitas enfermidades que acometem milhões de pessoas.
D) O estabelecimento da ética na utilização de crianças em modelos experimentais.
E) A explicação de que alguns vírus de animais podem ser transmitidos para os humanos.

8 – (ENEM 2014) 
QUESTÕES DO ENEM - IMUNOLOGIA
Embora sejam produzidos e utilizados em situações distintas, os imunobiológicos I e II atuam de forma
semelhante nos humanos e equinos, pois
A) conferem imunidade passiva.
B) transferem células de defesa.
C) suprimem a resposta imunológica.
D) estimulam a produção de anticorpos.
E) desencadeiam a produção de antígenos.

9 – (ENEM 2019) A esquistossomose (barriga-dʼágua) caracteriza-se pela inflamação do fígado e do baço causada pelo verme Schistosoma mansoni (esquistossomo). O contágio ocorre depois que larvas do verme são liberadas na água pelo caramujo do gênero Biomphalaria, seu hospedeiro intermediário, e penetram na pele humana. Após o diagnóstico, o tratamento tradicional utiliza medicamentos por via oral para matar o parasita dentro do corpo. Uma nova estratégia terapêutica baseia-se na utilização de uma vacina, feita a partir de uma proteína extraída do verme, que induz o organismo humano a produzir anticorpos para combater e prevenir a doença.
Instituto Oswaldo Cruz/Fundação Oswaldo Cruz (IOC/Fiocruz). Fiocruz anuncia nova fase de vacina para esquistossomose. Disponível em: http://agencia.fiocruz.br. Acesso em: 3 maio 2019 (adaptado).
Uma vantagem da vacina em relação ao tratamento tradicional é que ela poderá
A) impedir a penetração do parasita pela pele.
B) eliminar o caramujo para que não haja contágio.
C) impedir o acesso do esquistossomo especificamente para o fígado.
D) eliminar o esquistossomo antes que ocorra contato com o organismo.
E) eliminar o esquistossomo dentro do organismo antes da manifestação de sintomas.

10 – (ENEM 2020 – DIGITAL) Analise o esquema de uma metodologia utilizada na produção de vacinas contra a hepatite B.
QUESTÕES DO ENEM - IMUNOLOGIA
Disponível em: www.ied.edu.hk. Acesso em: 15 out. 2015 (adaptado).
Nessa vacina, a resposta imune será induzida por um(a)
A) vírus
B) bactéria
C) proteína
D) levedura
E) ácido nucleico

11 – (ENEM 2023) A tecnologia de vacinas de RNA mensageiro (RNAm) é investigada há anos. Avanços científicos em genética molecular permitiram desenvolver uma vacina para controle da pandemia da covid-19 causada pelo vírus de RNA SARS-CoV-2. A vacina de RNAm tem sequências de genes do vírus. Entretanto, por ser muito instável, o RNAm deve ser recoberto por uma capa de lipídios que evita sua degradação e favorece sua ação. Dessa forma, o RNAm desempenhará sua função específica atuando no mesmo compartimento celular de sempre.

Disponível em: https://sbim.org.br. Acesso em: 29 nov. 2021 (adaptado).

A imunização produzida por esse tipo de vacina é alcançada por meio da

A) estimulação de leucócitos induzida pela capa lipídica contendo RNAm.

B) atuação do RNAm como sequestrador do vírus para o meio extracelular.

C) tradução do RNAm em proteína viral, desencadeando a resposta antigênica.

D) competição entre o RNAm vacinal e o RNA viral pelos sítios dos ribossomos.

E) incorporação do RNAm viral ao genoma do hospedeiro, gerando novo fenótipo.




GABARITO
1 – B
2 – B
3 – A
4 – B
5 – E
6 – E
7 – A
8 – D
9 – E
10 – C
11 – C



VOCÊ TAMBÉM PODE GOSTAR DE LER:

Deixe um comentário

O seu endereço de e-mail não será publicado. Campos obrigatórios são marcados com *

Rolar para cima