Questões do ENEM das edições de 1998 a 2020, sobre o tema Dinâmica de Populações estudado em Ecologia.
1 – (ENEM 1998) No início deste século, com a finalidade de possibilitar o crescimento da população de veados no planalto de Kaibab, no Arizona (EUA), moveu-se uma caçada impiedosa aos seus predadores – pumas, coiotes e lobos. No gráfico abaixo, a linha cheia indica o crescimento real da população de veados, no período de 1905 a 1940; a linha pontilhada indica a expectativa quanto ao crescimento da população de veados, nesse mesmo período, caso o homem não tivesse interferido em Kaibab.
Para explicar o fenômeno que ocorreu com a população de veados após a interferência do homem, o mesmo estudante elaborou as seguintes hipóteses e/ou conclusões:
I. lobos, pumas e coiotes não eram, certamente, os únicos e mais vorazes predadores dos veados, quando estes predadores, até então desapercebidos, foram favorecidos pela eliminação de seus competidores, aumentaram numericamente e quase dizimaram a população de veados.
II. a falta de alimentos representou para os veados um mal menor que a predação.
III. ainda que a atuação dos predadores pudesse representar a morte para muitos veados, a predação demonstrou-se um fator positivo para o equilíbrio dinâmico e sobrevivência da população como um todo.
IV. a morte dos predadores acabou por permitir um crescimento exagerado da população de veados, isto levou à degradação excessiva das pastagens, tanto pelo consumo excessivo como pelo seu pisoteamento.
O estudante, desta vez, acertou se indicou as alternativas:
(A) I, II, III e IV.
(B) I, II e III, apenas.
(C) I, II e IV, apenas.
(D) II e III, apenas.
(E) III e IV, apenas.
2 – (ENEM 2000) O esquema abaixo representa os diversos meios em que se alimentam aves, de diferentes espécies, que fazem ninho na mesma região.
Com base no esquema, uma classe de alunos procurou identificar a possível existência de competição alimentar entre essas aves e concluiu que:
(A) não há competição entre os quatro tipos de aves porque nem todas elas se alimentam nos mesmos locais.
(B) não há competição apenas entre as aves dos tipos 1, 2 e 4 porque retiram alimentos de locais exclusivos.
(C) há competição porque a ave do tipo 3 se alimenta em todos os lugares e, portanto, compete com todas as demais.
(D) há competição apenas entre as aves 2 e 4 porque retiram grande quantidade de alimentos de um mesmo local.
(E) não se pode afirmar se há competição entre as aves que se alimentam em uma mesma região sem conhecer os tipos de alimento que consomem.
3 – (ENEM 2001) Um produtor de larvas aquáticas para alimentação de peixes ornamentais usou veneno para combater parasitas, mas suspendeu o uso do produto quando os custos se revelaram antieconômicos.
O gráfico registra a evolução das populações de larvas e parasitas.
O aspecto biológico, ressaltado a partir da leitura do gráfico, que pode ser considerado o melhor argumento para que o produtor não retome o uso do veneno é:
(A) A densidade populacional das larvas e dos parasitas não é afetada pelo uso do veneno.
(B) A população de larvas não consegue se estabilizar durante o uso do veneno.
(C) As populações mudam o tipo de interação estabelecida ao longo do tempo.
(D) As populações associadas mantêm um comportamento estável durante todo o período.
(E) Os efeitos das interações negativas diminuem ao longo do tempo, estabilizando as populações.
4 – (ENEM 2001) A pesca não predatória pressupõe que cada peixe retirado de seu hábitat já tenha procriado, pelo menos uma vez. Para algumas espécies, isso ocorre depois dos peixes apresentarem a
máxima variação anual de seu peso.
O controle de pesca no Pantanal é feito com base no peso de cada espécie.
A tabela fornece o peso do pacu, uma dessas espécies, em cada ano.
Considerando esses dados, a pesca do pacu deve ser autorizada para espécimes com peso de, no mínimo,
(A) 4 kg.
(B) 5 kg.
(C) 7 kg.
(D) 9 kg.
(E) 11 kg.
5 – (ENEM 2002) Artemia é um camarão primitivo que vive em águas salgadas, sendo considerado um fóssil vivo. Surpreendentemente, possui uma propriedade semelhante à dos vegetais que é a diapausa, isto é, a capacidade de manter ovos dormentes (embriões latentes) por muito tempo. Fatores climáticos ou alterações ambientais podem subitamente ativar a eclosão dos ovos, assim como, nos vegetais, tais alterações induzem a germinação de sementes.
Vários estudos têm sido realizados com artemias, pois estes animais apresentam características que sugerem um potencial biológico: possuem alto teor de proteína e são capazes de se alimentar de partículas orgânicas e inorgânicas em suspensão. Tais características podem servir de parâmetro para uma avaliação do potencial econômico e ecológico da artemia.
Em um estudo foram consideradas as seguintes possibilidades:
I. A variação da população de artemia pode ser usada como um indicador de poluição aquática.
II. A artemia pode ser utilizada como um agente de descontaminação ambiental, particularmente em ambientes aquáticos.
III. A eclosão dos ovos é um indicador de poluição química.
IV. Os camarões podem ser utilizados como fonte alternativa de alimentos de alto teor nutritivo.
É correto apenas o que se afirma em
(A) I e II.
(B) II e III.
(C) I, II e IV.
(D) II, III e IV.
(E) I, II, III e IV.
6 – (ENEM 2005) A atividade pesqueira é antes de tudo extrativista, o que causa impactos ambientais. Muitas espécies já apresentam sério comprometimento em seus estoques e, para diminuir esse impacto, várias espécies vêm sendo cultivadas. No Brasil, o cultivo de algas, mexilhões, ostras, peixes e camarões, vem sendo realizado há alguns anos, com grande sucesso, graças ao estudo minucioso da biologia dessas espécies.
Os crustáceos decápodes, por exemplo, apresentam durante seu desenvolvimento larvário, várias etapas com mudança radical de sua forma.
Não só a sua forma muda, mas também a sua alimentação e habitat. Isso faz com que os criadores estejam atentos a essas mudanças, porque a alimentação ministrada tem de mudar a cada fase.
Se para o criador, essas mudanças são um problema para a espécie em questão, essa metamorfose apresenta uma vantagem importante para sua sobrevivência, pois
(A) aumenta a predação entre os indivíduos.
(B) aumenta o ritmo de crescimento.
(C) diminui a competição entre os indivíduos da mesma espécie.
(D) diminui a quantidade de nichos ecológicos ocupados pela espécie.
(E) mantém a uniformidade da espécie.
7- (ENEM 2008) Um estudo recente feito no Pantanal dá uma boa ideia de como o equilíbrio entre as espécies, na natureza, é um verdadeiro quebra-cabeça. As peças do quebra-cabeça são o tucano-toco, a arara-azul e o manduvi. O tucano-toco é o único pássaro que consegue abrir o fruto e engolir a semente do manduvi, sendo, assim, o principal dispersor de suas sementes. O manduvi, por sua vez, é uma das poucas árvores onde as araras-azuis fazem seus ninhos.
Até aqui, tudo parece bem encaixado, mas… é justamente o tucano-toco o maior predador de ovos de arara-azul — mais da metade dos ovos das araras são predados pelos tucanos. Então, ficamos na seguinte encruzilhada: se não há tucanos-toco, os manduvis se extinguem, pois não há dispersão de suas sementes e não surgem novos manduvinhos, e isso afeta as araras-azuis, que não têm onde fazer seus ninhos. Se, por outro lado, há muitos tucanos-toco, eles dispersam as sementes dos manduvis, e as araras-azuis têm muito lugar para fazer seus ninhos, mas seus ovos são muito predados.
Internet: <http://oglobo.globo.com> (com adaptações).
De acordo com a situação descrita,
A) o manduvi depende diretamente tanto do tucano-toco como da arara-azul para sua sobrevivência.
B) o tucano-toco, depois de engolir sementes de manduvi, digere-as e torna-as inviáveis.
C) a conservação da arara-azul exige a redução da população de manduvis e o aumento da população de
tucanos-toco.
D) a conservação das araras-azuis depende também da conservação dos tucanos-toco, apesar de estes serem predadores daquelas.
E) a derrubada de manduvis em decorrência do desmatamento diminui a disponibilidade de locais para os tucanos fazerem seus ninhos.
8 – (ENEM 2008) Um grupo de ecólogos esperava encontrar aumento de tamanho das acácias, árvores preferidas de grandes mamíferos herbívoros africanos, como girafas e elefantes, já que a área estudada era cercada para evitar a entrada desses herbívoros. Para espanto dos cientistas, as acácias pareciam menos viçosas, o que os levou a compará-las com outras de duas áreas de savana: uma área na qual os herbívoros circulam livremente e fazem podas regulares nas acácias, e outra de onde eles foram retirados há 15 anos. O esquema a seguir mostra os resultados observados nessas duas áreas.
De acordo com as informações acima,
A) a presença de populações de grandes mamíferos herbívoros provoca o declínio das acácias.
B) os hábitos de alimentação constituem um padrão de comportamento que os herbívoros aprendem pelo uso, mas que esquecem pelo desuso.
C) as formigas da espécie 1 e as acácias mantêm uma relação benéfica para ambas.
D) os besouros e as formigas da espécie 2 contribuem para a sobrevivência das acácias.
E) a relação entre os animais herbívoros, as formigas e as acácias é a mesma que ocorre entre qualquer predador e sua presa.
9 – (ENEM 2016) Um pesquisador investigou o papel da predação por peixes na densidade e tamanho das presas, como possível controle de populações de espécies exóticas em costões rochosos. No experimento colocou uma tela sobre uma área da comunidade, impedindo o acesso dos peixes ao alimento, e comparou o resultado com uma área adjacente na qual os peixes tinham acesso livre. O quadro apresenta os resultados encontrados após 15 dias de experimento.
O pesquisador concluiu corretamente que os peixes controlam a densidade dos(as)
A) algas, estimulando seu crescimento.
B) cracas, predando especialmente animais pequenos.
C) mexilhões, predando especialmente animais pequenos.
D) quatro espécies testadas, predando indivíduos pequenos.
E) ascídias, apesar de não representarem os menores organismos.
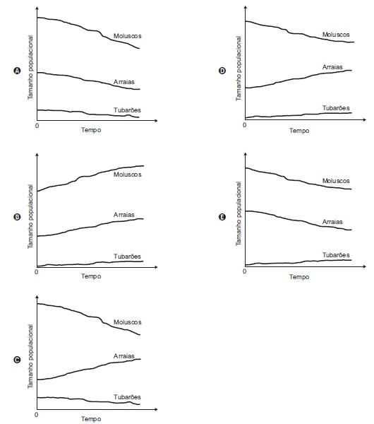
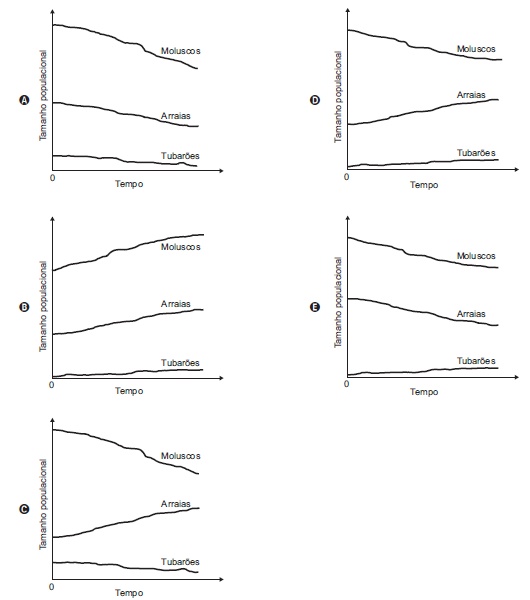
10 – (ENEM 2017) Dados compilados por Jeremy Jackson, do Instituto Scripps de Oceanografia (EUA), mostram que o declínio de 90% dos indivíduos de 11 espécies de tubarões do Atlântico Norte, causado pelo escesso de pesca, fez com que a população de uma arraia. normalmente devorada por eles, explodisse para 40 milhões de indivíduos. Doce vingança: essa horda de arraias é capaz de devorar 840 mil toneladas de moluscos por ano, o que provavelmente explica o colapso da antes lucrativa pesca de mariscos na Baía de Chesapeake (EUA).
Lopes, R. J. Nós, o asteróide. Revista Unesp Ciência, abr. 2010. Disponível em: https://issuu.com. Acesso em: 9 maio 2017 (adaptado).
Qual das figuras representa a variação do tamanho populacional de tubarões, arraias e moluscos no Atlântico Norte, a partir do momento em que a pesca de tubarões foi iniciada (tempo zero)?
11 – (ENEM 2018) Corredores ecológicos visam mitigar os efeitos da fragmentação dos ecossistemas promovendo a ligação entre diferentes áreas, com o objetivo de proporcionar o deslocamento de animais, a dispersão de sementes e o aumento da cobertura vegetal. São instituídos com base em informações como estudos sobre o deslocamento de espécies, sua área de vida (área necessária para o suprimento de suas necessidades vitais e reprodutivas) e a distribuição de suas populações.
Disponível em: www.mma.gov.br. Acesso em: 30 nov. 2017 (adaptado).
Nessa estratégia, a recuperação da biodiversidade é efetiva porque
A) propicia o fluxo gênico.
B) intensifica o manejo de espécies.
C) amplia o processo de ocupação humana.
D) aumenta o número de indivíduos nas populações.
E) favorece a formação de ilhas de proteção integral.
12 – (ENEM 2020 – DIGITAL) Pesquisadores delimitaram Unidades Evolutivas Significativas (UES) de cinco espécies pertencentes a diferentes grupos de vertebrados, distribuídos em oito áreas distintas, como mostra o quadro. Cada UES representa uma população isolada histórica e geneticamente diferenciada e apresenta prioridade para manejo e conservação.
Considerando a área 4, a espécie que terá prioridade nas estratégias de conservação pertence a que grupo?
A) Ave
B) Anfíbio
C) Roedor
D) Lagarto
E) Morcego
GABARITO
1 – E
2 – E
3 – E
4 – A
5 – C
6 – C
7 – D
8 – C
9 – C
10 – C
11 – A
12 – B

